RADARTOPIX.COM
  • Recherche
  • Radar
  • Outils

1 - 5

  • Calculateur de Bruit de Phase vers Jitter
  • Calculateur de Ligne de Visée (Line of Sight)
  • Convertisseur dBm en Watt
  • Convertisseur de Watt en dBm
  • Convertisseur de Fréquence en Longueur d’Onde

6 - 10

  • Convertisseur de Longueur d’Onde en Fréquence
  • Calculateur de Conversion Hz vers PPM
  • Calculateur de Réactance et d’Admittance Inductive
  • Calculateur de VSWR vers Return Loss
  • Calculateur du Facteur de Bruit à partir de la Figure de Bruit

11 - 15

  • Calculateur de Facteur de Bruit en Figure de Bruit
  • Calculateur de Conversion Delta vers Etoile (Wye)
  • Calculateur de Conversion Étoile-Triangle
  • Calculateur d’Antenne Patch Microstrip
  • Calculateur d’Atténuateur en Pi

16 - 20

  • Calculateur EIRP (Puissance Isotrope Rayonnée Effective)
  • Calculateur de Perte de Chemin en Espace Libre (FSPL)
  • Calculateur de Fréquence de Résonance d’un Circuit LC
  • Calculateur de Profondeur de Peau
  • Calculateur VSWR

21 - 25

  • Calculateur de Longueur d’Onde TEM
  • Calculateur de Réactance et Admittance Capacitive (XC & BC)
  • Calculateur PPM/PPB vers Hz
  • Calculateur de Retour de Perte vers VSWR
  • Calculateur de dBm vers Vrms

26 - 30

  • Calculateur de Conversion dBmV en dBm
  • Calculateur Vrms vers dBm
  • Convertisseur dBm en dBW
  • Calculateur de Conversion dBW en dBm
  • Calculateur de VSWR à partir du Coefficient de Réflexion

31 - 35

  • Calculateur de Coefficient de Réflexion à partir du VSWR
  • Calculateur de Longueur d’Antenne Dipôle
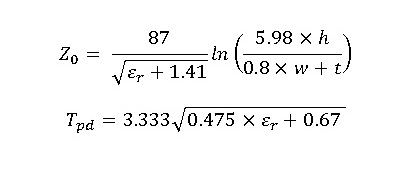
  • Calculateur d’Impédance Microstrip
  • Calculateur de Largeur Microstrip
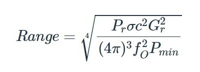
  • Calculateur de Portée Radar (Basé sur la Fréquence)

36 - 40

  • Calculateur de conversion Diviseur de puissance Wilkinson
  • Calculateur de zone de Fresnel
  • Calculateur de transmission de Friis
  • Calculateur d’impédance de microstrip
  • Calculateur du coefficient de réflexion

41 - 45

  • Calculateur de conversion dBm en dBmV
  • Calculateur de conversion Perte de retour en coefficient de réflexion
  • Calculateur de conversion SINAD en ENOB
  • Calculateur de conversion du coefficient de réflexion en perte de retour
  • Calculateur d’angle d’inclinaison d’antenne

46 - 50

  • Calculateur du rayon de couverture selon l’inclinaison d’antenne
  • Calculateur de conception d’antenne hélicoïdale
  • Calculateur d’antenne à réflecteur parabolique
  • Calculateur d’atténuateur équilibré
  • Calculateur d’atténuateur en T

51 - 55

  • Calculateur d’impédance microstrip différentielle
  • Calculateur d’impédance différentielle microstrip
  • Calculateur de coupleur directionnel
  • Calculateur d’incertitude de gain due au désadaptation
  • Calculateur du signal détectable minimal (MDS)

56 - 60

  • Calculateur d’efficacité de puissance ajoutée (PAE)
  • Calculateur de transformateur RF
  • Calculateur de ligne à fente
  • Calculateur de bruit thermique
  • Calculateur de fréquence de résonance de cavité

61 - 65

  • Calculateur de conversion du facteur de bruit en température de bruit
  • Calculateur de conversion dBm en dBµV
  • Calculateur de conversion Température de bruit en Facteur de bruit
  • Calculateur de conversion Puissance directe et réfléchie en VSWR
  • Calculateur de diviseur de puissance N voies

66 - 70

  • Calculateur de conversion du rapport de puissance RF
  • Calculateur de champ proche et champ lointain d’antenne
  • Calculateur de densité de puissance d’antenne
  • Calculateur de gain d’antenne à réflecteur parabolique
  • Calculateur d’atténuateur en T ponté

71 - 75

  • Calculateur d’atténuateur par réflexion
  • Calculateur de coude mitré en microstrip
  • Calculateur d’ouverture efficace d’antenne
  • Calculateur de portée non ambiguë maximale
  • Calculateur de fréquence de répétition d’impulsions (PRF)

76 - 80

  • Calculateur de vitesse aveugle radar
  • Calculateur de filtre passe-bande micro-ondes
  • Calculateur d’impédance de transformateur quart d’onde
  • Calculateur de paramètres du cristal de quartz
  • Calculateur de taux d’absorption spécifique (SAR)

81 - 81

  • Calculateur de gamme dynamique sans interférences (SFDR)
  • à propos de nous
  • Clause de non-responsabilité
  • Conditions d’utilisation
  • Contactez-nous
  • Politique de confidentialité
  • Français
  • Español
  • Português
  • Deutsch
  • Nederlands
  • Italiano
  • Polski
  • Türkçe
  • English