Le calculateur d’antenne patch microstrip permet de déterminer les dimensions optimales d’une antenne patch pour une fréquence de résonance donnée.
Il est utile pour les ingénieurs et techniciens RF qui conçoivent des antennes pour des applications de communication sans fil, radar ou IoT.
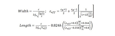
Formule utilisée
W = (c / (2 × f₀)) × √(2 / (εr + 1))
εeff = (εr + 1)/2 + ((εr – 1)/2) × (1 + 12 × (h/W))-0,5
Leff = c / (2 × f₀ × √εeff)
ΔL = 0,412 × h × ((εeff + 0,3) × (W/h + 0,264)) / ((εeff – 0,258) × (W/h + 0,8))
L = Leff – 2 × ΔL
Explication
La largeur W de l’antenne dépend de la fréquence de résonance f₀ et de la constante diélectrique du substrat εr.
La constante diélectrique effective εeff prend en compte l’effet du substrat et de l’air environnant.
La longueur effective Leff et la correction ΔL permettent d’obtenir la longueur réelle L de l’antenne pour que celle-ci résonne exactement à la fréquence désirée.
Exemple de calcul
Pour une antenne avec :
εr = 4,4, h = 1,6 mm, f₀ = 2,4 GHz :
W = (3×10⁸ / (2 × 2,4×10⁹)) × √(2 / (4,4 + 1)) ≈ 38,5 mm
εeff ≈ 4,0
Leff = 3×10⁸ / (2 × 2,4×10⁹ × √4,0) ≈ 31,2 mm
ΔL ≈ 0,8 mm
L = 31,2 – 2 × 0,8 ≈ 29,6 mm

Avantages et Utilisation
- Permet de calculer rapidement les dimensions d’une antenne patch pour une fréquence donnée.
- Utile pour la conception et l’optimisation d’antennes dans les systèmes RF et sans fil.
- Facilite l’expérimentation avec différents substrats et fréquences de résonance.
- Aide à obtenir des performances précises et fiables pour les applications de communication.