Le calculateur de ligne de visée permet d’estimer la distance maximale sur laquelle deux antennes peuvent se voir directement, sans obstacle.
Cet outil est largement utilisé en ingénierie RF, en télécommunications et pour la planification des liaisons radio ou micro-ondes.
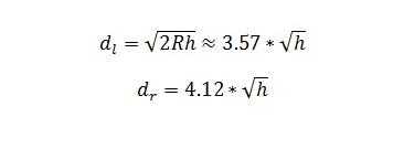
Formule utilisée
dₗ = 3,57 × √h
dᵣ = 4,12 × √h
où :
dₗ = distance de ligne de visée (km)
dᵣ = portée du service ou horizon radio (km)
h = hauteur de l’antenne (mètres)

Explication
Ces formules montrent la relation entre la hauteur d’une antenne et la distance jusqu’à l’horizon visible.
La première formule (dₗ) représente la ligne de visée géométrique, tandis que la seconde (dᵣ) prend en compte la réfraction atmosphérique moyenne,
ce qui donne une estimation plus réaliste de la portée radio.
Ainsi, plus l’antenne est haute, plus la distance de visée et la couverture du signal augmentent.
Exemple de calcul
Pour une antenne de h = 10 mètres :
dₗ = 3,57 × √10 ≈ 11,29 km
dᵣ = 4,12 × √10 ≈ 13,03 km
Cela signifie que l’horizon radio s’étend à environ 13 kilomètres pour une antenne de 10 mètres de haut.
Avantages et Utilisation
- Permet d’évaluer la portée visuelle et radio entre deux points de communication.
- Utile pour la planification des liaisons sans fil, des tours de communication et des systèmes micro-ondes.
- Aide à déterminer la hauteur minimale nécessaire pour assurer une ligne de visée claire.
- Facilite la conception de réseaux RF fiables en limitant les zones d’ombre ou d’interférences.