Fspl calculator
Met de FSPL-calculator kunt u het signaalverlies in de vrije ruimte tussen een zendantenne en een ontvangstantenne bepalen.
Deze tool is handig voor RF-ingenieurs en technici die werken aan de planning van radioverbindingen en het ontwerp van draadloze systemen.
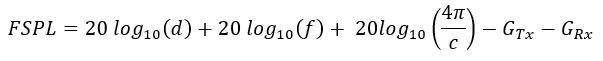
Gebruikte formule
FSPL(dB) = 20 × log₁₀(d) + 20 × log₁₀(f) + 92,45 − GTx − GRx
Of :
d = afstand tussen antennes (km of m)
f = signaalfrequentie (GHz of MHz)
GTx = versterking van de zendantenne (dB)
GRx = ontvangstantenneversterking (dB)
FSPL = padverlies in de vrije ruimte (dB)
Uitleg
De formule laat zien dat signaalverlies toeneemt met de afstand en frequentie.
De winsten van de zend- en ontvangstantennes verminderen het effectieve verlies van de verbinding.
De term 92,45 is een constante die de eenheden aanpast voor afstanden in km en frequenties in GHz.

Rekenvoorbeeld
Voor een link met:
Afstand = 10 km , Frequentie = 2,4 GHz , GTx = 5 dB , GRx = 5 dB :
FSPL = 20 × log₁₀(10) + 20 × log₁₀(2,4) + 92,45 − 5 − 5 ≈ 115,1 dB
Voordelen en gebruik
- Hiermee kunt u het signaalverlies voor radio- of Wi-Fi-verbindingen schatten.
- Handig voor draadloze netwerkplanning en antennedimensionering.
- Helpt het bereik en de signaalkwaliteit te optimaliseren, rekening houdend met de antenneversterking.
- Handig voor het vergelijken van verschillende afstands- en frequentieconfiguraties om padverlies te minimaliseren.