Il calcolatore della larghezza della microstriscia aiuta a determinare la larghezza esatta di una traccia di microstriscia in base all’impedenza target, allo spessore della traccia e al dielettrico.
Questo strumento è utile agli ingegneri RF e ai progettisti di PCB per ottimizzare le prestazioni delle tracce di microstriscia.
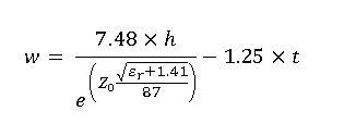
Formula utilizzata
L = (7,48 × A) / exp(Z0 × √(εr + 1,41) / 87) – 1,25 × t
O :
W = carreggiata (stessa unità di t e H)
Z0 = impedenza target della linea a microstriscia (Ω)
t = spessore del binario (stessa unità di H)
H = spessore del dielettrico (stessa unità di t)
εr = costante dielettrica relativa del substrato
Spiegazione
La larghezza W di una traccia in microstrip dipende dall’impedenza desiderata, dallo spessore della traccia e dal dielettrico utilizzato.
Un’impedenza più elevata o un substrato a costante dielettrica inferiore richiedono una traccia più stretta, mentre una traccia più spessa o un substrato a costante dielettrica più elevata aumentano la larghezza necessaria.
Questa formula garantisce una progettazione precisa su misura per i requisiti del segnale RF.

Esempio di calcolo
Per una linea a microstriscia con:
Z0 = 50 Ω , t = 0,035 mm , H = 1,5 mm , εr = 4,4 :
L = (7,48 × 1,5) / exp(50 × √(4,4 + 1,41) / 87) – 1,25 × 0,035 ≈ 2,1 mm
Vantaggi e utilizzo
- Consente di calcolare con precisione la larghezza delle tracce della microstrip in base ai requisiti di impedenza.
- Utile per la progettazione di circuiti stampati RF e microonde.
- Aiuta a garantire prestazioni ottimali dei segnali ad alta frequenza.
- Semplifica la regolazione dei parametri di progettazione per diversi substrati e spessori delle tracce.